Официальное опубликование правовых актов
ОФИЦИАЛЬНОЕ ОПУБЛИКОВАНИЕ
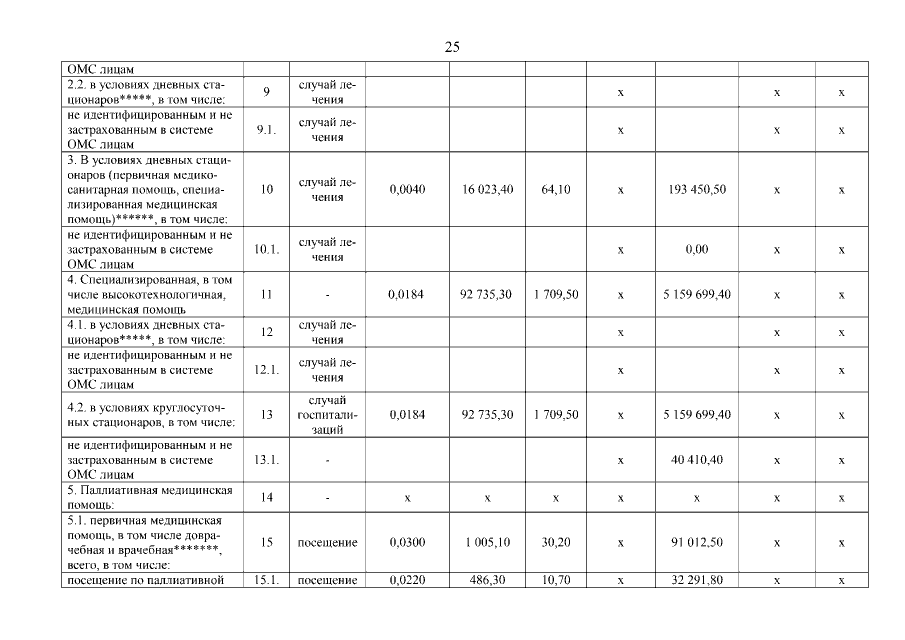
Постановление Правительства Нижегородской области от 29.12.2022 № 1160 "О Программе государственных гарантий бесплатного оказания населению Нижегородской области медицинской помощи на 2023 год и на плановый период 2024 и 2025 годов"
Номер опубликования: 5200202212300024
Дата опубликования: 30.12.2022
Страница №105 из 577:
Увеличить