Официальное опубликование правовых актов
ОФИЦИАЛЬНОЕ ОПУБЛИКОВАНИЕ
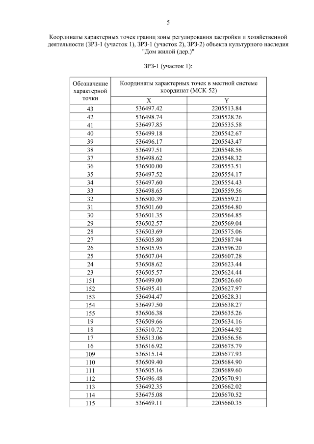
Постановление Правительства Нижегородской области от 28.10.2022 № 864
"Об установлении зон охраны объекта культурного наследия федерального значения "Дом жилой (дер.)" (г. Нижний Новгород, ул. КИМ, 94) и утверждении требований к градостроительным регламентам в границах территорий данных зон"
Номер опубликования: 5200202210310007
Дата опубликования: 31.10.2022
Страница №7 из 22:
Увеличить