Официальное опубликование правовых актов
ОФИЦИАЛЬНОЕ ОПУБЛИКОВАНИЕ
Постановление Правительства Нижегородской области от 07.10.2022 № 805
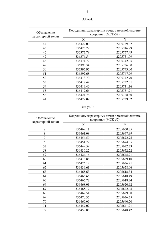
"Об установлении зон охраны объекта культурного наследия регионального значения "Опора водонапорной башни" (г. Нижний Новгород, ул. КИМа, дом 86) и утверждении требований к градостроительным регламентам в границах территорий данных зон"
Номер опубликования: 5200202210100002
Дата опубликования: 10.10.2022
Страница №6 из 15:
Увеличить