Официальное опубликование правовых актов
ОФИЦИАЛЬНОЕ ОПУБЛИКОВАНИЕ
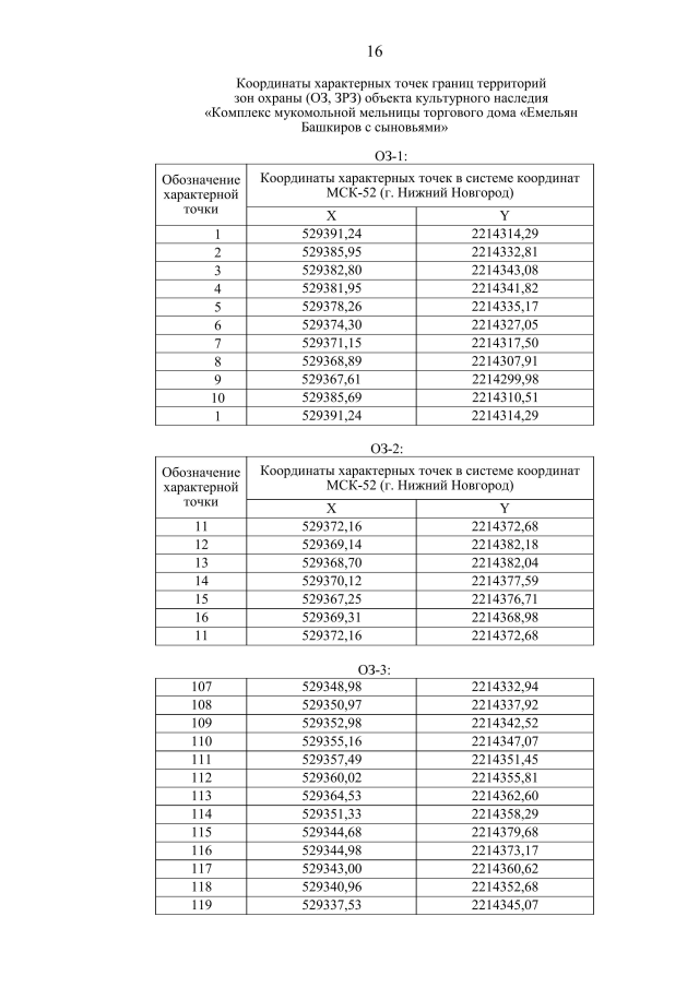
Постановление Правительства Нижегородской области от 16.08.2022 № 624 "Об установлении зон охраны объекта культурного наследия регионального значения "Комплекс мукомольной мельницы торгового дома "Емельян Башкиров с сыновьями" (Нижегородская область, г. Нижний Новгород, Гаршина ул., 40 (литеры А, А1, А2, Д, И, И1, И2), 42 (литера А) и утверждении требований к градостроительным регламентам в границах территорий данных зон"
Номер опубликования: 5200202208170003
Дата опубликования: 17.08.2022
Страница №18 из 50:
Увеличить