Официальное опубликование правовых актов
ОФИЦИАЛЬНОЕ ОПУБЛИКОВАНИЕ
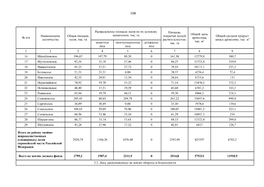
Указ Губернатора Нижегородской области от 18.07.2022 № 130
"О внесении изменений в Лесной план Нижегородской области, утвержденный Указом Губернатора Нижегородской области от 27 декабря 2018 г. № 179"
Номер опубликования: 5200202207200009
Дата опубликования: 20.07.2022
Страница №109 из 306:
Увеличить