Официальное опубликование правовых актов
ОФИЦИАЛЬНОЕ ОПУБЛИКОВАНИЕ
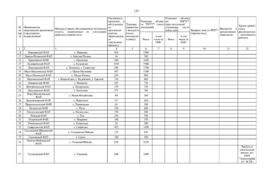
Постановление Правительства Нижегородской области от 09.06.2022 № 436
"О внесении изменения в региональную программу модернизации первичного звена здравоохранения Нижегородской области, утвержденную постановлением Правительства Нижегородской области от 15 декабря 2020 г. № 1029"
Номер опубликования: 5200202206170001
Дата опубликования: 17.06.2022
Страница №138 из 3019:
Увеличить