Официальное опубликование правовых актов
ОФИЦИАЛЬНОЕ ОПУБЛИКОВАНИЕ
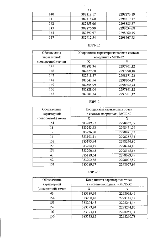
Постановление Правительства Нижегородской области от 05.05.2022 № 317 "Об установлении объединенной зоны охраны объектов культурного наследия в с. Большое Болдино и утверждении требований к градостроительным регламентам в границах территорий данной зоны"
Номер опубликования: 5200202205060001
Дата опубликования: 06.05.2022
Страница №24 из 44:
Увеличить