Официальное опубликование правовых актов
ОФИЦИАЛЬНОЕ ОПУБЛИКОВАНИЕ
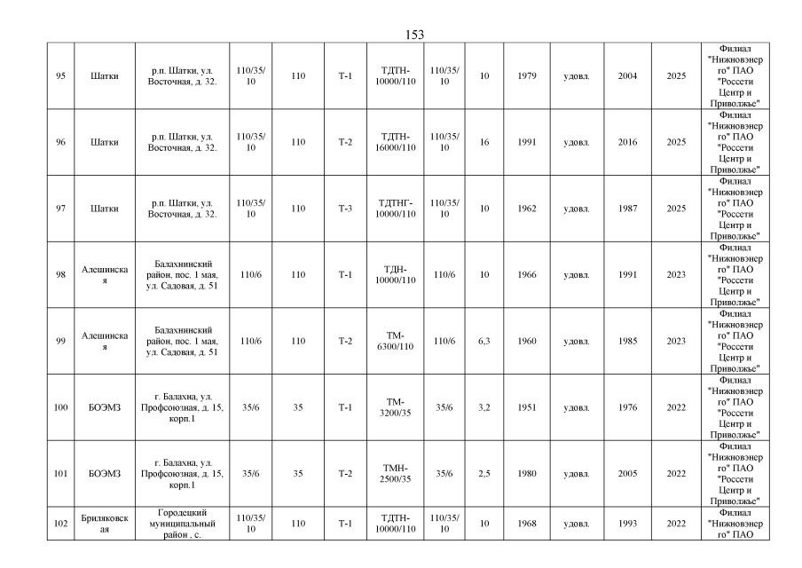
Указ Губернатора Нижегородской области от 22.04.2022 № 72
"Об утверждении схемы и программы перспективного развития электроэнергетики Нижегородской области на 2022—2026 годы"
Номер опубликования: 5200202204260006
Дата опубликования: 26.04.2022
Страница №155 из 282:
Увеличить