Официальное опубликование правовых актов
ОФИЦИАЛЬНОЕ ОПУБЛИКОВАНИЕ
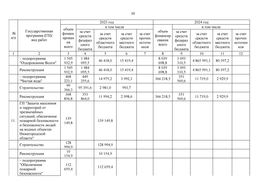
Постановление Правительства Нижегородской области от 13.04.2022 № 259 "О внесении изменений в Адресную инвестиционную программу Нижегородской области на 2022—2024 годы, утвержденную постановлением Правительства Нижегородской области от 22 декабря 2021 г. № 1210"
Номер опубликования: 5200202204130027
Дата опубликования: 13.04.2022
Страница №31 из 458:
Увеличить