Официальное опубликование правовых актов
ОФИЦИАЛЬНОЕ ОПУБЛИКОВАНИЕ
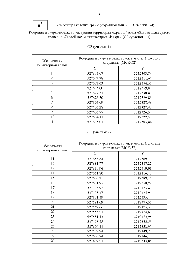
Постановление Правительства Нижегородской области от 28.03.2022 № 208 "Об установлении зон охраны объекта культурного наследия регионального значения "Жилой дом с кинотеатром "Искра" (г. Нижний Новгород, Июльских дней ул., 21/96 (литеры А, А1)) и утверждении требований к градостроительным регламентам в границах территорий данных зон"
Номер опубликования: 5200202203290003
Дата опубликования: 29.03.2022
Страница №4 из 11:
Увеличить