Официальное опубликование правовых актов
ОФИЦИАЛЬНОЕ ОПУБЛИКОВАНИЕ
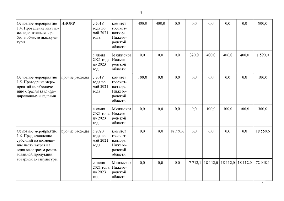
Постановление Правительства Нижегородской области от 17.03.2022 № 170 "О внесении изменений в государственную программу "Развитие товарной аквакультуры (товарного рыбоводства) в Нижегородской области", утвержденную постановлением Правительства Нижегородской области от 14 февраля 2018 г. № 98"
Номер опубликования: 5200202203180006
Дата опубликования: 18.03.2022
Страница №5 из 10:
Увеличить