Официальное опубликование правовых актов
ОФИЦИАЛЬНОЕ ОПУБЛИКОВАНИЕ
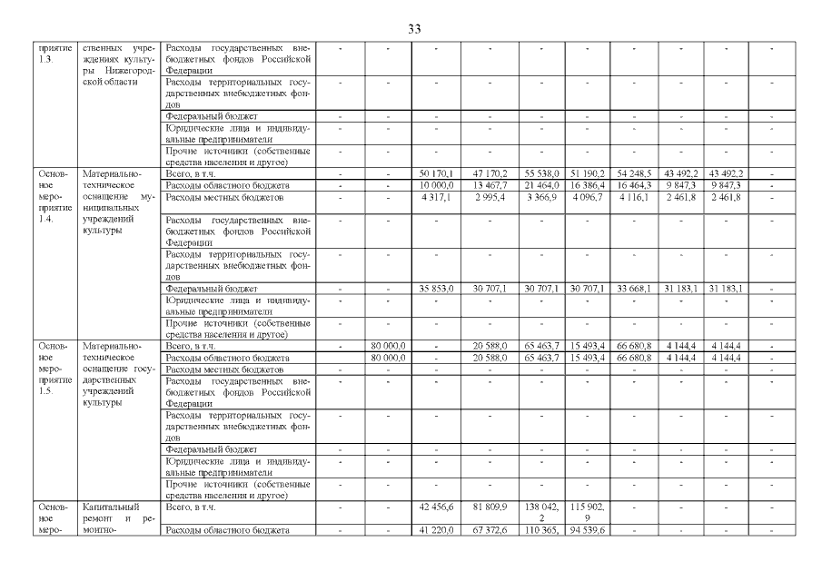
Постановление Правительства Нижегородской области от 25.01.2022 № 32
"О внесении изменений в государственную программу "Развитие культуры и туризма Нижегородской области", утвержденную постановлением Правительства Нижегородской области от 30 апреля 2014 г. № 299, и о приостановлении действия ее отдельных положений"
Номер опубликования: 5200202201310018
Дата опубликования: 31.01.2022
Страница №35 из 73:
Увеличить