Официальное опубликование правовых актов
ОФИЦИАЛЬНОЕ ОПУБЛИКОВАНИЕ
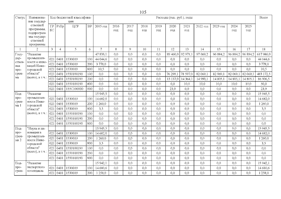
Постановление Правительства Нижегородской области от 27.01.2022 № 43
"О внесении изменений в государственную программу "Развитие промышленности и инноваций Нижегородской области", утвержденную постановлением Правительства Нижегородской области от 30 апреля 2014 г. № 297"
Номер опубликования: 5200202201310016
Дата опубликования: 31.01.2022
Страница №106 из 136:
Увеличить