Официальное опубликование правовых актов
ОФИЦИАЛЬНОЕ ОПУБЛИКОВАНИЕ
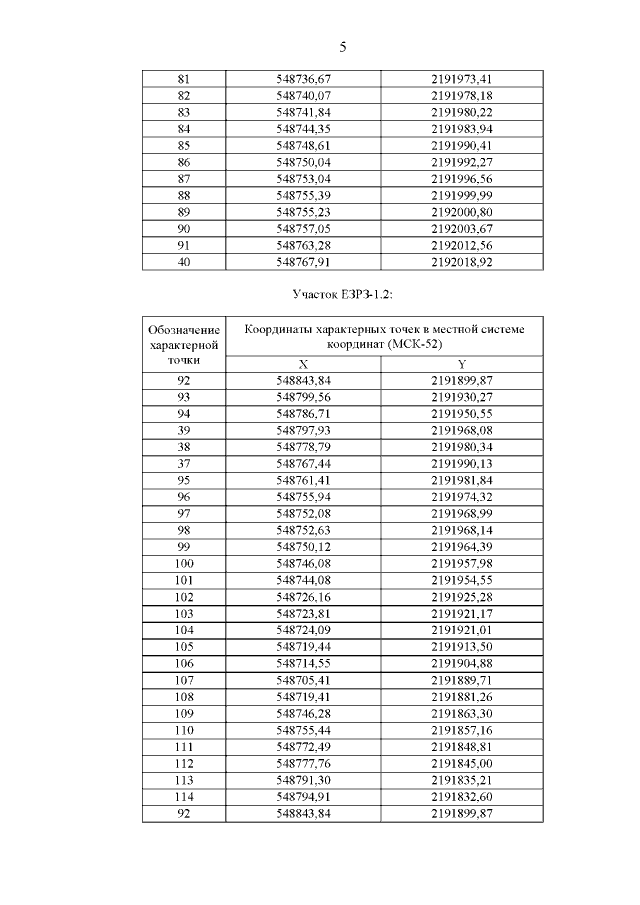
Постановление Правительства Нижегородской области от 24.11.2021 № 1065 "Об установлении объединенной зоны охраны объектов культурного наследия, расположенных в г. Балахне, утверждении требований к градостроительным регламентам в границах территории данной зоны"
Номер опубликования: 5200202111260001
Дата опубликования: 26.11.2021
Страница №7 из 23:
Увеличить