Официальное опубликование правовых актов
ОФИЦИАЛЬНОЕ ОПУБЛИКОВАНИЕ
Постановление Правительства Нижегородской области от 26.10.2021 № 940
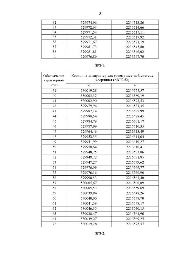
"Об установлении зон охраны объекта культурного наследия регионального значения "Дом А.Г. Булычевой" (г. Нижний Новгород, ул. Ошарская, дом 1/2; адрес на период постановки на государственную охрану: г. Нижний Новгород, на пересечении ул. Ошарская, пер. Чернопрудный, 1/2 (литеры А, А1)) и утверждении требований к градостроительным регламентам в границах территорий данных зон"
Номер опубликования: 5200202110270010
Дата опубликования: 27.10.2021
Страница №5 из 13:
Увеличить