Официальное опубликование правовых актов
ОФИЦИАЛЬНОЕ ОПУБЛИКОВАНИЕ
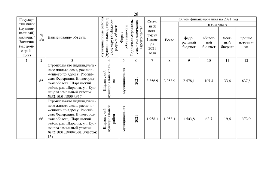
Постановление Правительства Нижегородской области от 20.10.2021 № 924 "О внесении изменений в Адресную инвестиционную программу Нижегородской области на 2021 - 2023 годы, утвержденную постановлением Правительства Нижегородской области от 23 декабря 2020 г. № 1090"
Номер опубликования: 5200202110210005
Дата опубликования: 21.10.2021
Страница №103 из 387:
Увеличить