Официальное опубликование правовых актов
ОФИЦИАЛЬНОЕ ОПУБЛИКОВАНИЕ
Постановление Правительства Нижегородской области от 27.09.2021 № 841
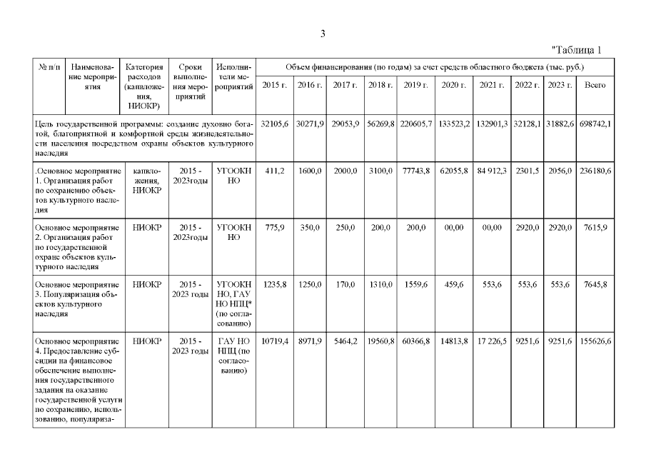
"О внесении изменений в государственную программу "Сохранение, популяризация и государственная охрана объектов культурного наследия в Нижегородской области", утвержденную постановлением Правительства Нижегородской области от 29 апреля 2014 г. № 289"
Номер опубликования: 5200202110010009
Дата опубликования: 01.10.2021
Страница №4 из 17:
Увеличить