Официальное опубликование правовых актов
ОФИЦИАЛЬНОЕ ОПУБЛИКОВАНИЕ
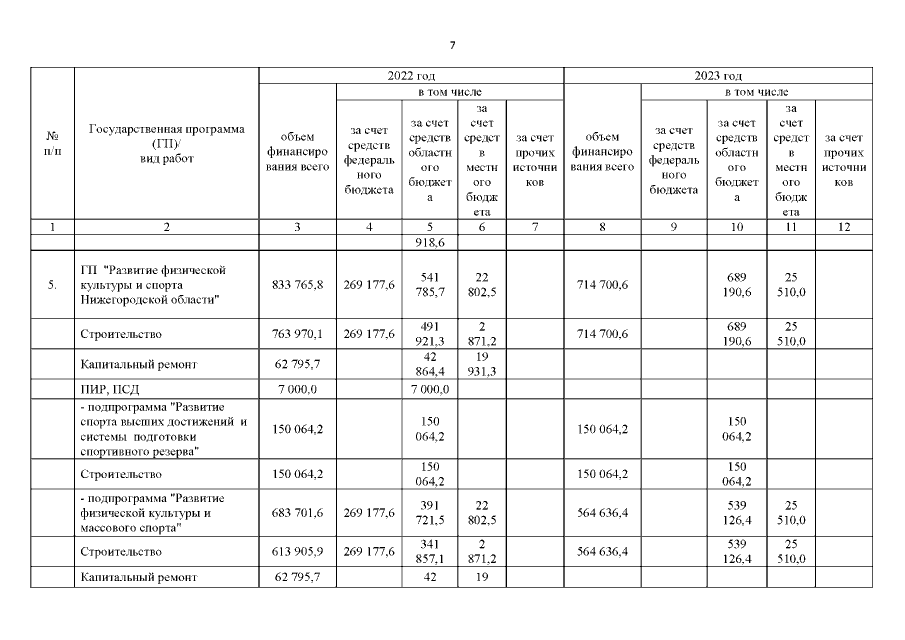
Постановление Правительства Нижегородской области от 30.08.2021 № 761 "О внесении изменений в Адресную инвестиционную программу Нижегородской области на 2021 - 2023 годы, утвержденную постановлением Правительства Нижегородской области от 23 декабря 2020 г. № 1090"
Номер опубликования: 5200202109020004
Дата опубликования: 02.09.2021
Страница №21 из 338:
Увеличить