Официальное опубликование правовых актов
ОФИЦИАЛЬНОЕ ОПУБЛИКОВАНИЕ
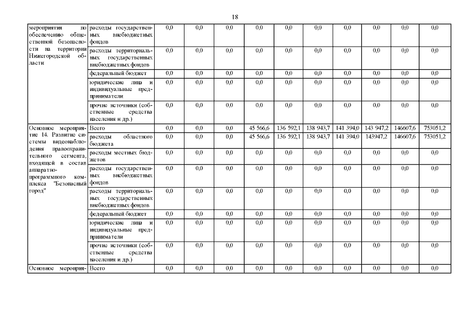
Постановление Правительства Нижегородской области от 27.07.2021 № 639 "О внесении изменений в государственную программу "Обеспечение общественного порядка и противодействие преступности в Нижегородской области", утвержденную постановлением Правительства Нижегородской области от 31 декабря 2014 г. № 981"
Номер опубликования: 5200202107280002
Дата опубликования: 28.07.2021
Страница №19 из 22:
Увеличить