Официальное опубликование правовых актов
ОФИЦИАЛЬНОЕ ОПУБЛИКОВАНИЕ
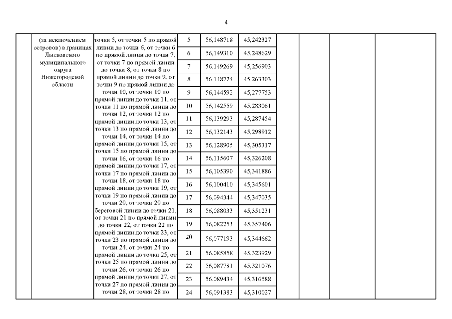
Постановление Правительства Нижегородской области от 06.07.2021 № 595 "О внесении изменений в постановление Правительства Нижегородской области от 7 апреля 2020 г. № 276"
Номер опубликования: 5200202107070013
Дата опубликования: 07.07.2021
Страница №5 из 26:
Увеличить