Официальное опубликование правовых актов
ОФИЦИАЛЬНОЕ ОПУБЛИКОВАНИЕ
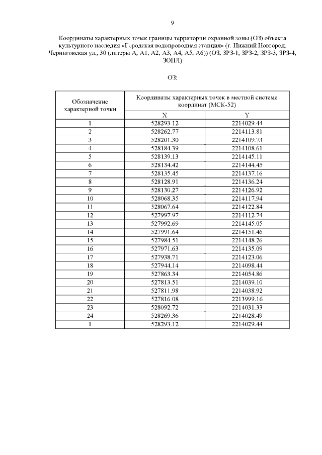
Постановление Правительства Нижегородской области от 01.07.2021 № 576 "Об установлении зон охраны объекта культурного наследия регионального значения "Городская водопроводная станция" (г. Нижний Новгород, Черниговская ул., 30 (литеры А, А1, А2, АЗ, А4, А5, А6)) и утверждении требований к градостроительным регламентам в границах территорий данных зон"
Номер опубликования: 5200202107050005
Дата опубликования: 05.07.2021
Страница №11 из 22:
Увеличить