Официальное опубликование правовых актов
ОФИЦИАЛЬНОЕ ОПУБЛИКОВАНИЕ
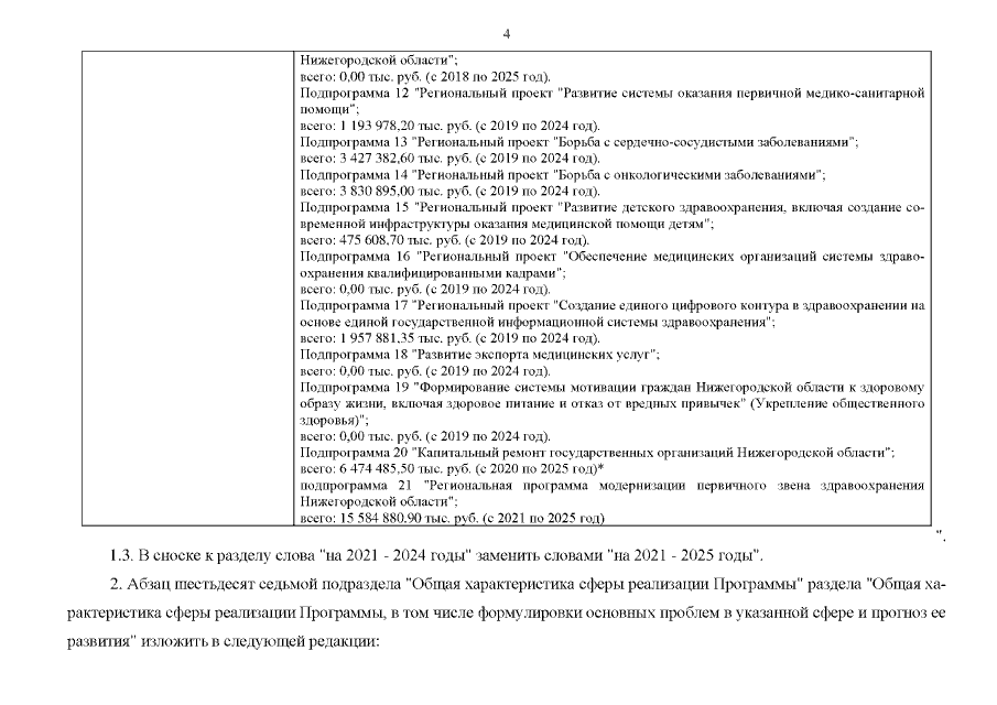
Постановление Правительства Нижегородской области от 21.06.2021 № 524 "О внесении изменений в государственную программу "Развитие здравоохранения Нижегородской области", утвержденную постановлением Правительства Нижегородской области от 26 апреля 2013 г. № 274"
Номер опубликования: 5200202106250012
Дата опубликования: 25.06.2021
Страница №5 из 502:
Увеличить