Официальное опубликование правовых актов
ОФИЦИАЛЬНОЕ ОПУБЛИКОВАНИЕ
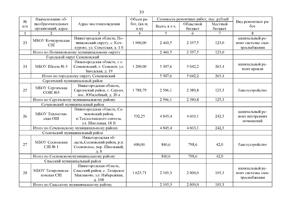
Постановление Правительства Нижегородской области от 24.02.2021 № 141 "О внесении изменений в государственную программу "Капитальный ремонт образовательных организаций Нижегородской области", утвержденную постановлением Правительства Нижегородской области от 29 марта 2019 г. № 180"
Номер опубликования: 5200202102260004
Дата опубликования: 26.02.2021
Страница №40 из 76:
Увеличить