Официальное опубликование правовых актов
ОФИЦИАЛЬНОЕ ОПУБЛИКОВАНИЕ
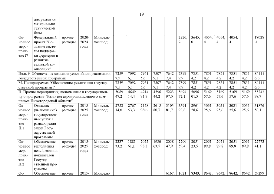
Постановление Правительства Нижегородской области от 14.01.2021 № 21 "О внесении изменений в государственную программу "Развитие агропромышленного комплекса Нижегородской области", утвержденную постановлением Правительства Нижегородской области от 28 апреля 2014 г. № 280"
Номер опубликования: 5200202101150005
Дата опубликования: 15.01.2021
Страница №20 из 59:
Увеличить