Официальное опубликование правовых актов
ОФИЦИАЛЬНОЕ ОПУБЛИКОВАНИЕ
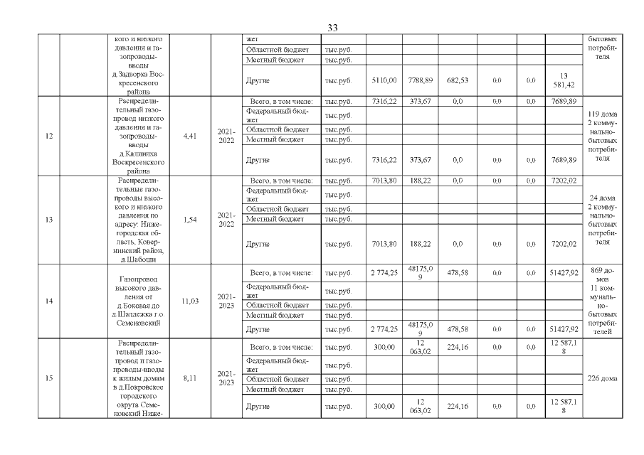
Постановление Правительства Нижегородской области от 29.12.2020 № 1114 "Об утверждении региональной программы газификации Нижегородской области на 2021 - 2025 годы"
Номер опубликования: 5200202012300012
Дата опубликования: 30.12.2020
Страница №35 из 70:
Увеличить