Официальное опубликование правовых актов
ОФИЦИАЛЬНОЕ ОПУБЛИКОВАНИЕ
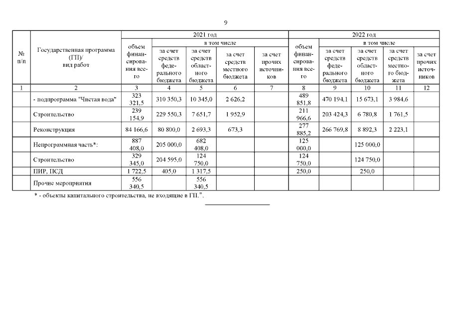
Постановление Правительства Нижегородской области от 09.11.2020 № 909 "О внесении изменений в Адресную инвестиционную программу Нижегородской области на 2020 - 2022 годы, утвержденную постановлением Правительства Нижегородской области от 17 декабря 2019 г. № 960"
Номер опубликования: 5200202011100017
Дата опубликования: 10.11.2020
Страница №23 из 419:
Увеличить