Официальное опубликование правовых актов
ОФИЦИАЛЬНОЕ ОПУБЛИКОВАНИЕ
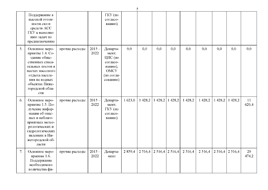
Постановление Правительства Нижегородской области от 06.10.2020 № 819 "О внесении изменений в государственную программу "Защита населения и территорий от чрезвычайных ситуаций, обеспечение пожарной безопасности и безопасности людей на водных объектах Нижегородской области", утвержденную постановлением Правительства Нижегородской области от 30 апреля 2014 г. № 304"
Номер опубликования: 5200202010070006
Дата опубликования: 07.10.2020
Страница №6 из 57:
Увеличить