Официальное опубликование правовых актов
ОФИЦИАЛЬНОЕ ОПУБЛИКОВАНИЕ
Постановление Правительства Нижегородской области от 26.06.2020 № 514
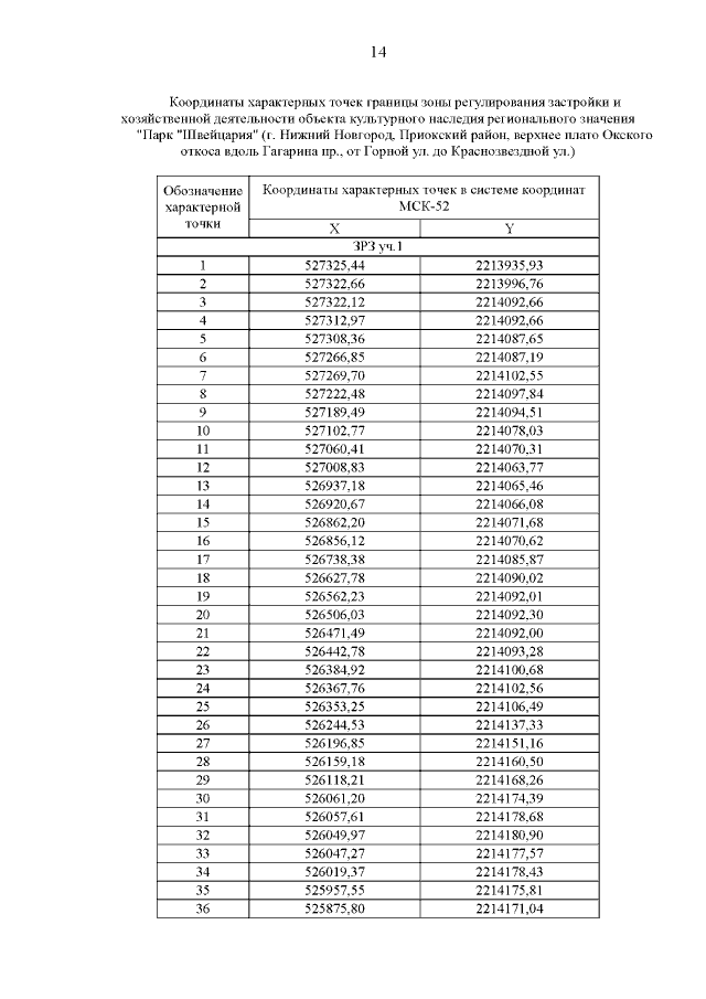
"Об установлении зон охраны объектов культурного наследия регионального значения "Парк "Швейцария" и "Входы и ограда парка "Швейцария" в г. Нижнем Новгороде и утверждении требований к градостроительным регламентам в границах территорий данных зон"
Номер опубликования: 5200202006290008
Дата опубликования: 29.06.2020
Страница №16 из 67:
Увеличить