Официальное опубликование правовых актов
ОФИЦИАЛЬНОЕ ОПУБЛИКОВАНИЕ
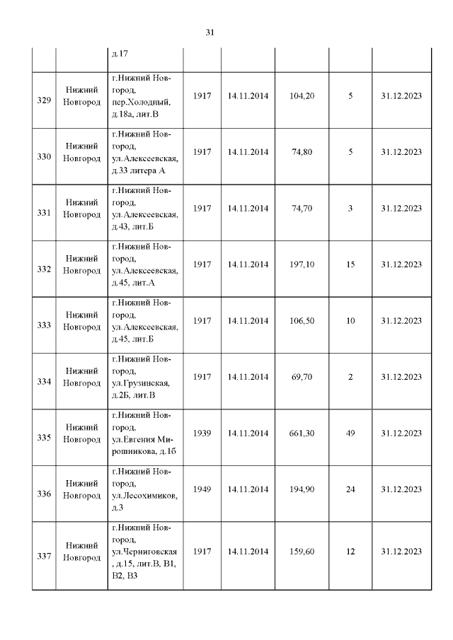
Постановление Правительства Нижегородской области от 31.03.2020 № 246
"О внесении изменений в региональную адресную программу "Переселение граждан из аварийного жилищного фонда на территории Нижегородской области на 2019 - 2025 годы", утвержденную постановлением Правительства Нижегородской области от 29 марта 2019 г. № 168"
Номер опубликования: 5200202004010005
Дата опубликования: 01.04.2020
Страница №38 из 136:
Увеличить