Официальное опубликование правовых актов
ОФИЦИАЛЬНОЕ ОПУБЛИКОВАНИЕ
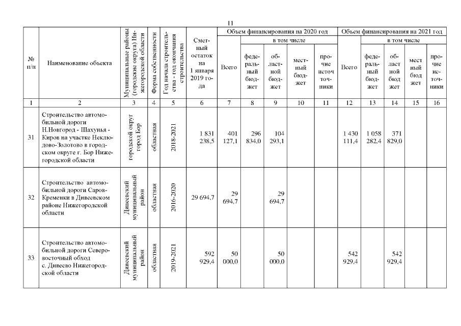
Постановление Правительства Нижегородской области от 31.12.2019 № 1041
"О внесении изменений в Адресную инвестиционную программу Нижегородской области на 2019 - 2021 годы, утвержденную постановлением Правительства Нижегородской области от 27 ноября 2018 г. № 800"
Номер опубликования: 5200201912310027
Дата опубликования: 31.12.2019
Страница №174 из 180:
Увеличить