Официальное опубликование правовых актов
ОФИЦИАЛЬНОЕ ОПУБЛИКОВАНИЕ
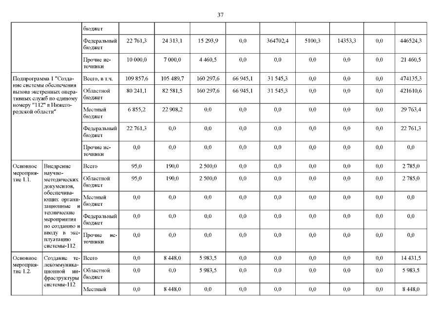
Постановление Правительства Нижегородской области от 16.12.2019 № 948
"О внесении изменений в государственную программу "Информационное общество Нижегородской области", утвержденную постановлением Правительства Нижегородской области от 30 апреля 2014 г. № 300"
Номер опубликования: 5200201912180001
Дата опубликования: 18.12.2019
Страница №38 из 57:
Увеличить