Официальное опубликование правовых актов
ОФИЦИАЛЬНОЕ ОПУБЛИКОВАНИЕ
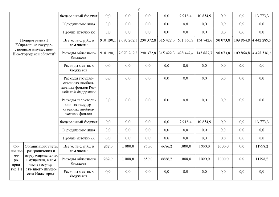
Постановление Правительства Нижегородской области от 31.10.2019 № 800
"О внесении изменений в государственную программу "Управление государственным имуществом Нижегородской области", утвержденную постановлением Правительства Нижегородской области от 28 апреля 2014 г. № 284"
Номер опубликования: 5200201911010002
Дата опубликования: 01.11.2019
Страница №9 из 41:
Увеличить