Официальное опубликование правовых актов
ОФИЦИАЛЬНОЕ ОПУБЛИКОВАНИЕ
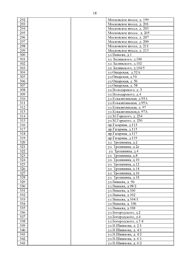
Постановление Правительства Нижегородской области от 23.10.2019 № 773
"О внесении изменений в государственную программу "Формирование современной городской среды на территории Нижегородской области на 2018 - 2024 годы", утвержденную постановлением Правительства Нижегородской области от 1 сентября 2017 г. № 651"
Номер опубликования: 5200201910290009
Дата опубликования: 29.10.2019
Страница №19 из 27:
Увеличить