Официальное опубликование правовых актов
ОФИЦИАЛЬНОЕ ОПУБЛИКОВАНИЕ
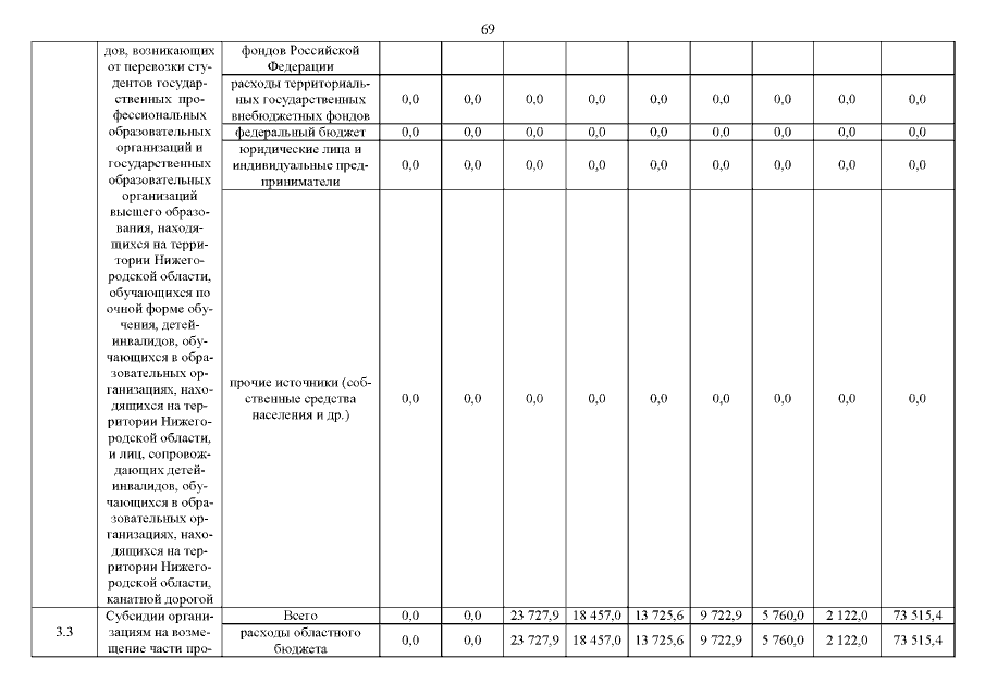
Постановление Правительства Нижегородской области от 21.05.2019 № 270
"О внесении изменений в государственную программу "Развитие транспортной системы Нижегородской области", утвержденную постановлением Правительства Нижегородской области от 30 апреля 2014 г. № 303"
Номер опубликования: 5200201905240003
Дата опубликования: 24.05.2019
Страница №70 из 116:
Увеличить