Официальное опубликование правовых актов
ОФИЦИАЛЬНОЕ ОПУБЛИКОВАНИЕ
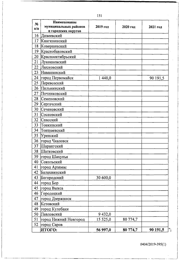
Закон Нижегородской области от 30.04.2019 № 32-З
"О внесении изменений в Закон Нижегородской области "Об областном бюджете на 2019 год и на плановый период 2020 и 2021 годов"
Номер опубликования: 5200201904300002
Дата опубликования: 30.04.2019
Страница №151 из 169:
Увеличить