Официальное опубликование правовых актов
ОФИЦИАЛЬНОЕ ОПУБЛИКОВАНИЕ
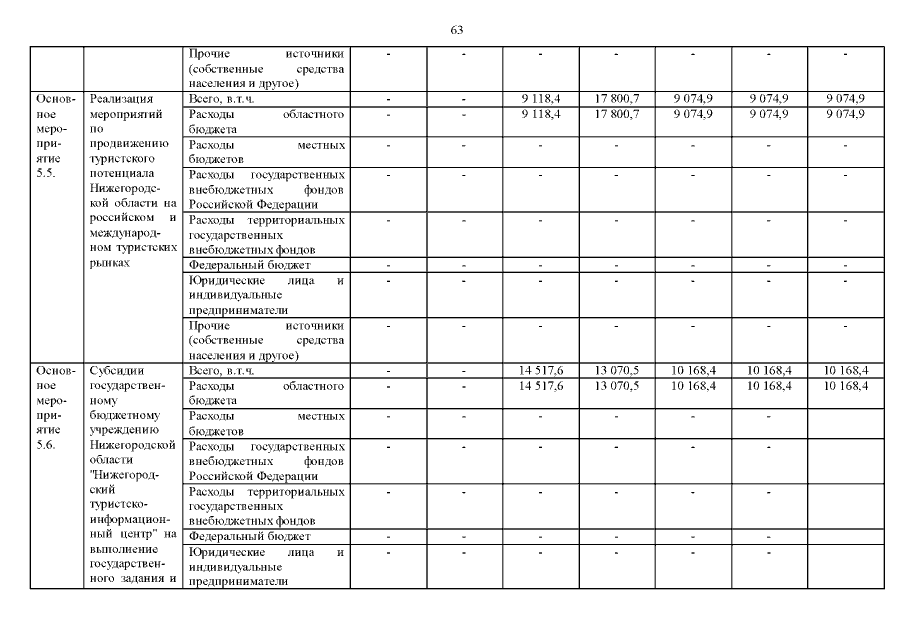
Постановление Правительства Нижегородской области от 15.02.2019 № 80
"О внесении изменений в государственную программу "Развитие культуры и туризма Нижегородской области", утвержденную постановлением Правительства Нижегородской области от 30 апреля 2014 г. № 299"
Номер опубликования: 5200201902200008
Дата опубликования: 20.02.2019
Страница №64 из 81:
Увеличить