Официальное опубликование правовых актов
ОФИЦИАЛЬНОЕ ОПУБЛИКОВАНИЕ
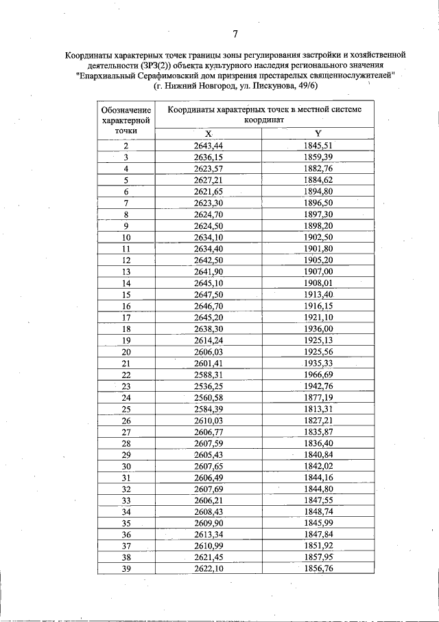
Постановление Правительства Нижегородской области от 29.12.2018 № 929
"Об установлении зон охраны объектов культурного наследия регионального значения, расположенных на улицах Минина и Пискунова в г. Нижнем Новгороде, и утверждении требований к градостроительным регламентам в границах данных зон"
Номер опубликования: 5200201812310012
Дата опубликования: 31.12.2018
Страница №9 из 29:
Увеличить