Официальное опубликование правовых актов
ОФИЦИАЛЬНОЕ ОПУБЛИКОВАНИЕ
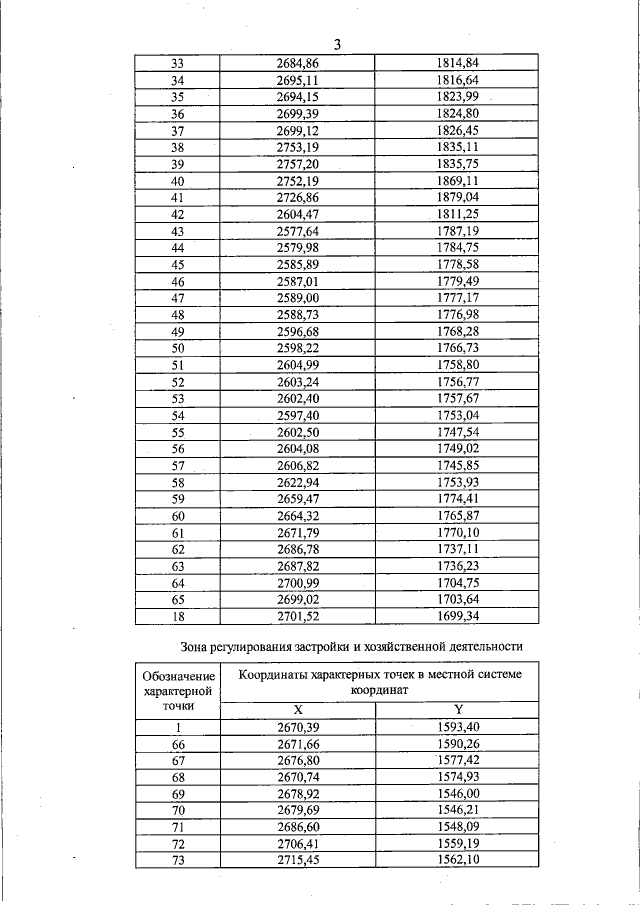
Постановление Правительства Нижегородской области от 29.11.2018 № 816
"О внесении изменений в постановление Правительства Нижегородской области от 19 ноября 2013 г. № 857"
Номер опубликования: 5200201812040010
Дата опубликования: 04.12.2018
Страница №6 из 7:
Увеличить