Официальное опубликование правовых актов
ОФИЦИАЛЬНОЕ ОПУБЛИКОВАНИЕ
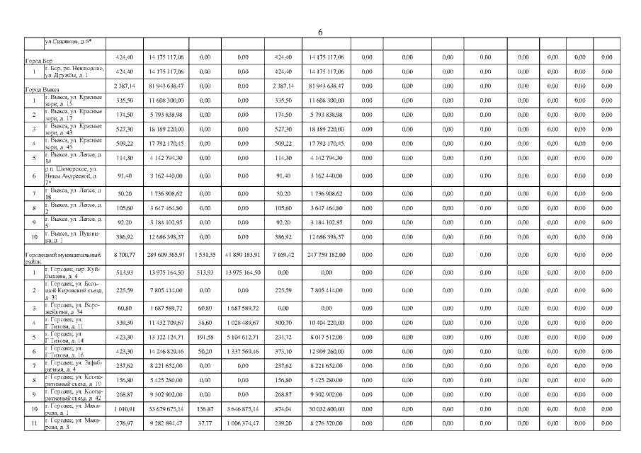
Постановление Правительства Нижегородской области от 11.10.2018 № 673
"О внесении изменений в государственную региональную адресную программу "Переселение граждан из аварийного жилищного фонда на территории Нижегородской области, в том числе с учетом необходимости развития малоэтажного жилищного строительства на 2013 -2017 годы", утвержденную постановлением Правительства Нижегородской области от 19 июня 2013 г. № 383"
Номер опубликования: 5200201810200001
Дата опубликования: 20.10.2018
Страница №93 из 164:
Увеличить