Официальное опубликование правовых актов
ОФИЦИАЛЬНОЕ ОПУБЛИКОВАНИЕ
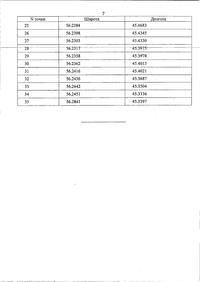
Указ Губернатора Нижегородской области от 28.09.2018 № 139
"Об охранной зоне памятника природы регионального значения "Болото Дряничное"
Номер опубликования: 5200201810010005
Дата опубликования: 01.10.2018
Страница №8 из 8:
Увеличить