Официальное опубликование правовых актов
ОФИЦИАЛЬНОЕ ОПУБЛИКОВАНИЕ
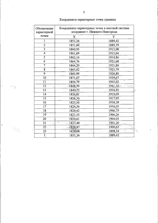
Постановление Правительства Нижегородской области от 29.06.2018 № 480
"Об утверждении границ зон охраны объектов культурного наследия регионального значения в г. Нижнем Новгороде, особых режимов использования земель и требований к градостроительным регламентам в утвержденных границах"
Номер опубликования: 5200201807030003
Дата опубликования: 03.07.2018
Страница №6 из 17:
Увеличить