Официальное опубликование правовых актов
ОФИЦИАЛЬНОЕ ОПУБЛИКОВАНИЕ
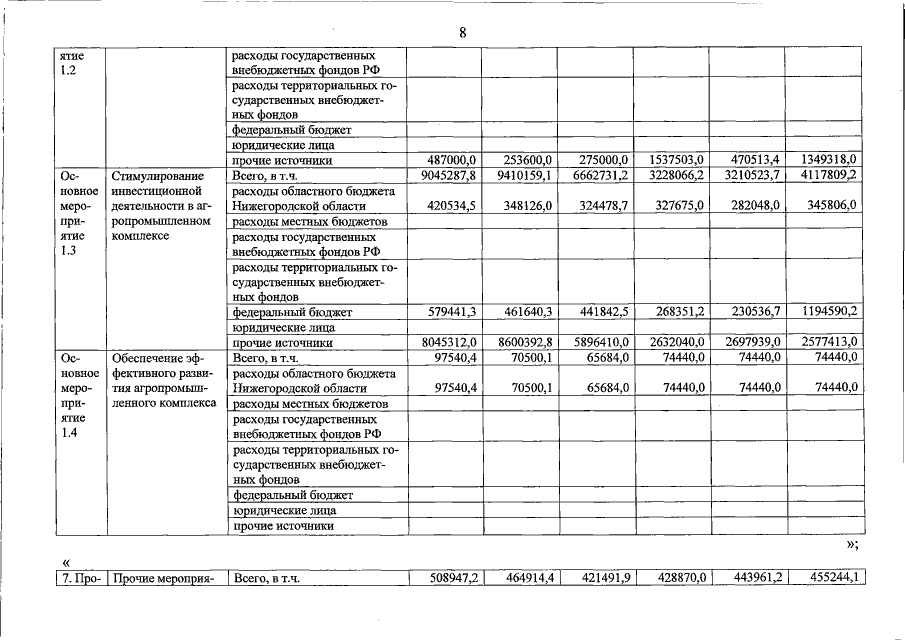
Постановление Правительства Нижегородской области от 04.05.2018 № 325
"О внесении изменений в государственную программу "Развитие агропромышленного комплекса Нижегородской области", утвержденную постановлением Правительства Нижегородской области от 28 апреля 2014 года № 280"
Номер опубликования: 5200201805070001
Дата опубликования: 07.05.2018
Страница №9 из 13:
Увеличить