Официальное опубликование правовых актов
ОФИЦИАЛЬНОЕ ОПУБЛИКОВАНИЕ
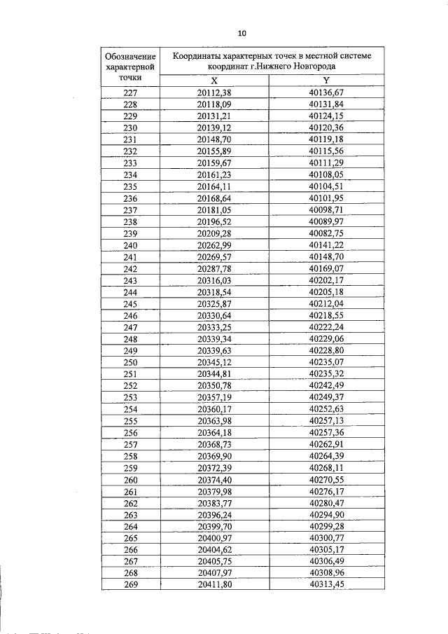
Постановление Правительства Нижегородской области от 06.12.2017 № 864
"Об утверждении границ зон охраны объектов культурного наследия регионального значения "Комплекс Новодевичьего Алексеевского монастыря" и "Жилой дом" в г. Арзамасе, особых режимов использования земель и требований к градостроительным регламентам в утвержденных границах"
Номер опубликования: 5200201712060003
Дата опубликования: 06.12.2017
Страница №12 из 29:
Увеличить