Официальное опубликование правовых актов
ОФИЦИАЛЬНОЕ ОПУБЛИКОВАНИЕ
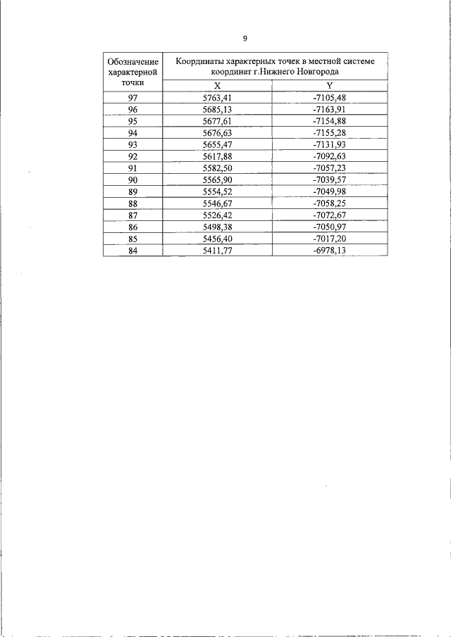
Постановление Правительства Нижегородской области от 02.11.2017 № 779
"Об утверждении границ зон охраны объектов культурного наследия регионального значения, расположенных на улице Баррикад в г. Нижнем Новгороде, особых режимов использования земель и требований к градостроительным регламентам в утвержденных границах"
Номер опубликования: 5200201711030003
Дата опубликования: 03.11.2017
Страница №11 из 29:
Увеличить