Официальное опубликование правовых актов
ОФИЦИАЛЬНОЕ ОПУБЛИКОВАНИЕ
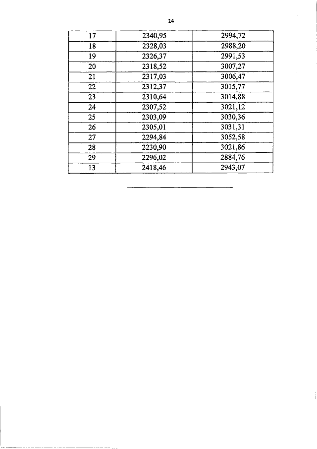
Постановление Правительства Нижегородской области от 14.07.2017 № 521
"Об утверждении границ зон охраны объектов культурного наследия регионального значения, расположенных на Верхне-Волжской наб., 21 в г. Нижнем Новгороде, особых режимов использования земель и требований к градостроительным регламентам в утвержденных границах"
Номер опубликования: 5200201707180003
Дата опубликования: 18.07.2017
Страница №16 из 22:
Увеличить