Официальное опубликование правовых актов
ОФИЦИАЛЬНОЕ ОПУБЛИКОВАНИЕ
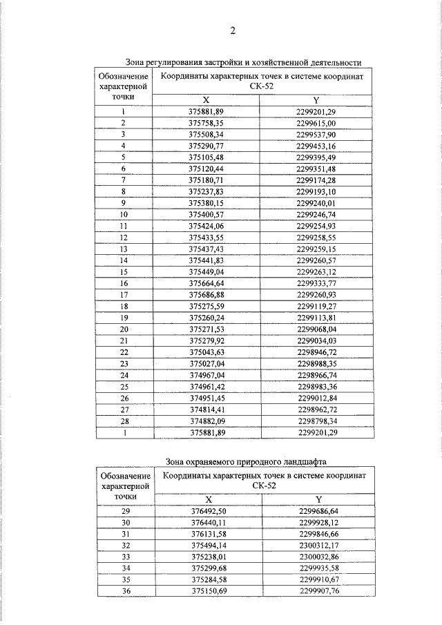
Постановление Правительства Нижегородской области от 22.02.2017 № 94
"О внесении изменений в постановление Правительства Нижегородской области от 16 сентября 2015 года № 594"
Номер опубликования: 5200201702280004
Дата опубликования: 28.02.2017
Страница №3 из 4:
Увеличить