Официальное опубликование правовых актов
ОФИЦИАЛЬНОЕ ОПУБЛИКОВАНИЕ
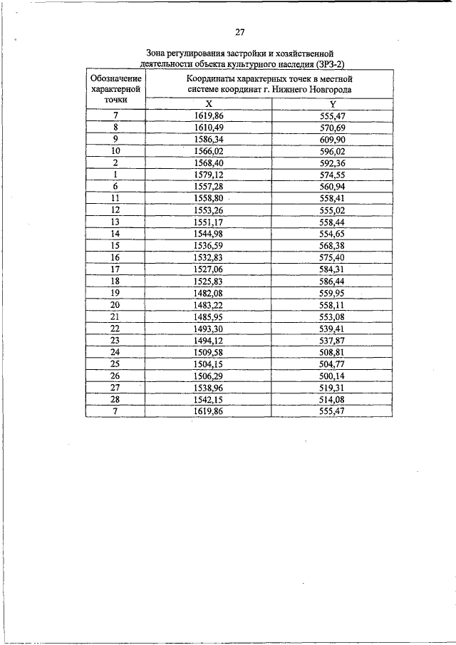
Постановление Правительства Нижегородской области от 13.01.2017 № 4
"Об утверждении границ зон охраны объектов культурного наследия регионального значения, расположенных на ул. Большая Покровская и ул. Малая Покровская в г. Нижнем Новгороде, особых режимов использования земель и требований к градостроительным регламентам в утвержденных границах"
Номер опубликования: 5200201701180003
Дата опубликования: 18.01.2017
Страница №30 из 54:
Увеличить