Официальное опубликование правовых актов
ОФИЦИАЛЬНОЕ ОПУБЛИКОВАНИЕ
Постановление Правительства Нижегородской области от 04.03.2016 № 107
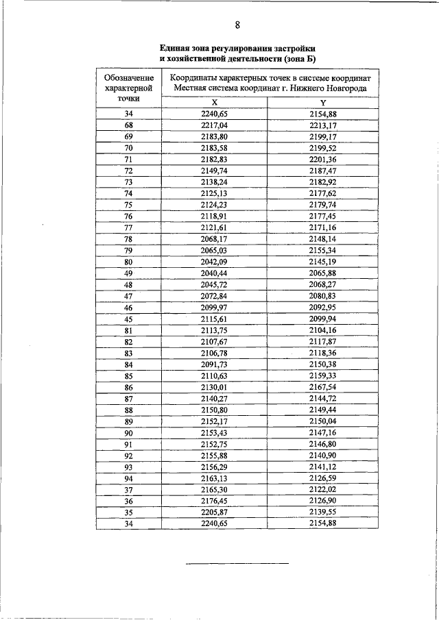
"Об утверждении границ объединенных зон охраны объектов культурного наследия, расположенных на ул. Семашко и ул. Ковалихинской в г. Нижнем Новгороде, режимов использования земель и требований к градостроительным регламентам в границах данных зон"
Номер опубликования: 5200201603110001
Дата опубликования: 11.03.2016
Страница №11 из 16:
Увеличить