Официальное опубликование правовых актов
ОФИЦИАЛЬНОЕ ОПУБЛИКОВАНИЕ
Приказ Министерства здравоохранения Мурманской области от 23.10.2025 № 581
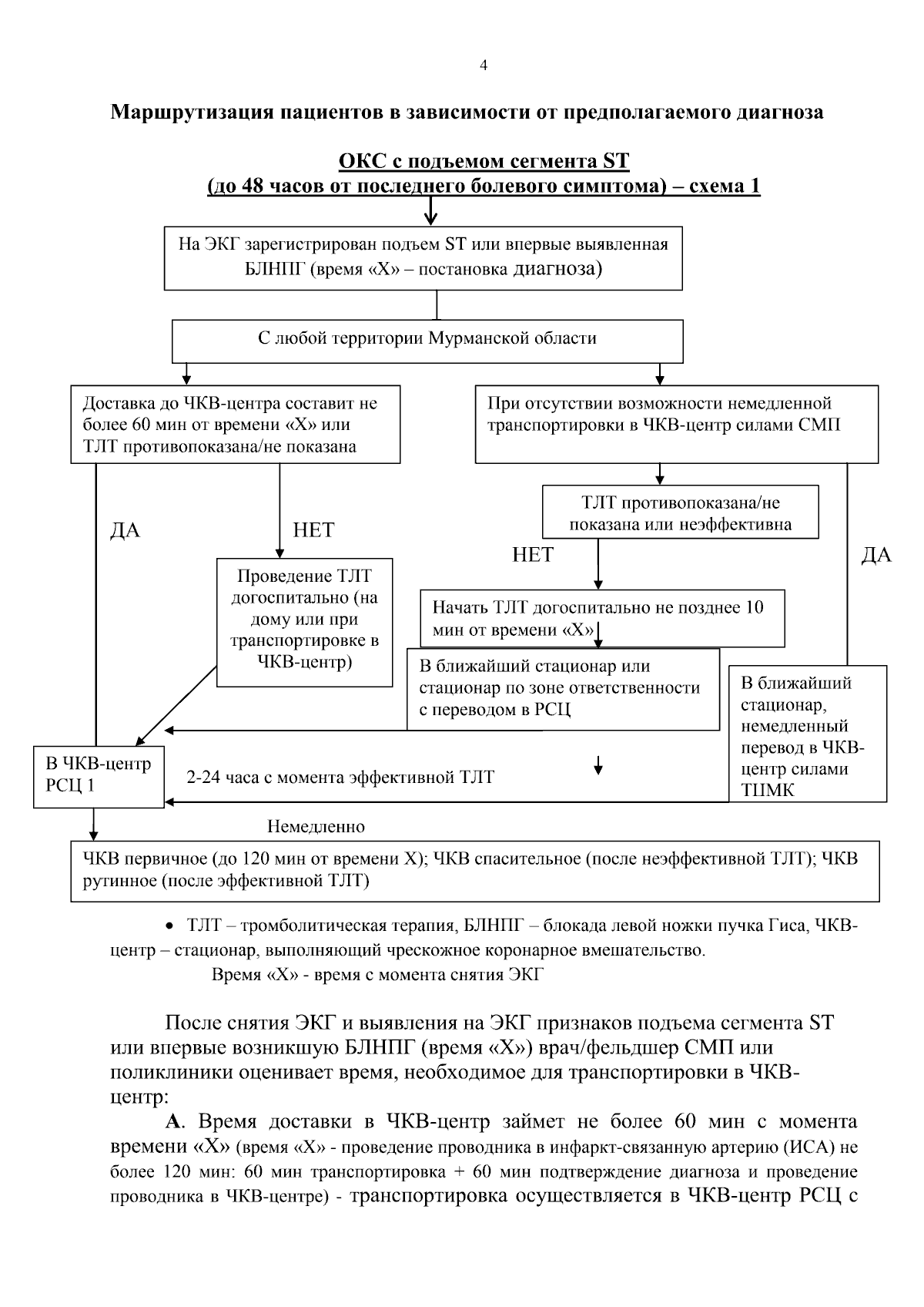
"Об организации оказания медицинской помощи взрослому населению Мурманской области при сердечно-сосудистых заболеваниях"
(Зарегистрирован 23.10.2025 № 08-2025-82)
Номер опубликования: 5101202510240001
Дата опубликования: 24.10.2025
Страница №73 из 124:
Увеличить