Официальное опубликование правовых актов
ОФИЦИАЛЬНОЕ ОПУБЛИКОВАНИЕ
Распоряжение Министерства культуры Мурманской области от 10.02.2025 № 17
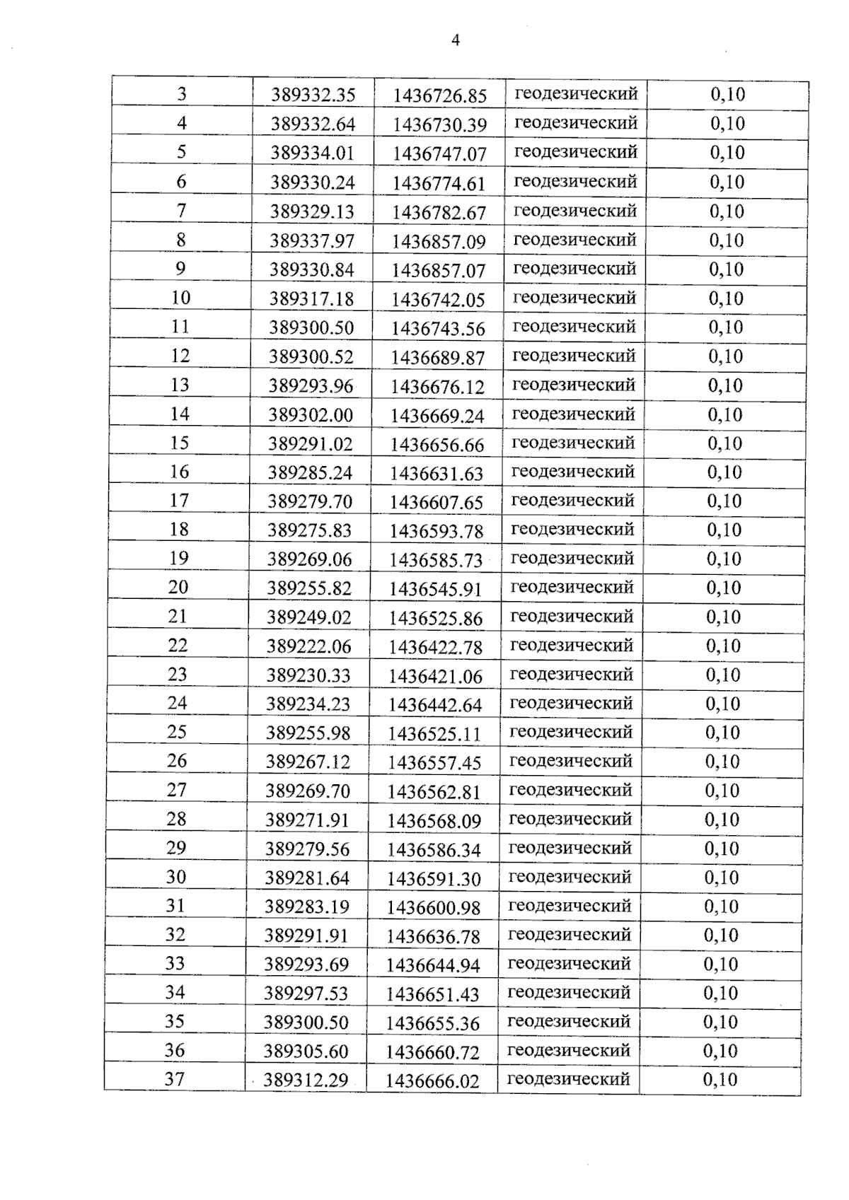
"Об установлении объединённых зон охраны (охранной зоны, зоны регулирования застройки и хозяйственной деятельности, зоны охраняемого природного ландшафта) объектов культурного наследия федерального значения "Церковь Никольская (деревянная)", XVII в. и "Колокольня Никольской церкви", 1705 г., конец XIX в., местонахождение (адрес): Мурманская область, Кандалакшский район, село Ковда, улица Речная, дом 8, а также режимов использования земель и земельных участков, требований к градостроительным регламентам в границах данных зон"
(Зарегистрирован 10.02.2025 № 12-2025-10 )
Номер опубликования: 5101202502170001
Дата опубликования: 17.02.2025
Страница №6 из 45:
Увеличить